![]() |
![]() |
![]() |
![]() |
![]() |
|||||||
![]() |
|||||||||||
![]() |
![]() |
![]() |
|||||||||
![]() |
|||||||||||
![]() |
![]() |
||||||||||
![]() |
|||
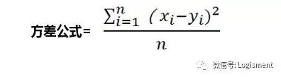
Excel规划求解在供应链管理中的应用 之 销售预测的指数平滑法 负责公司销售预测的同学们,可能了解,常用的定量预测方法包括时间序列方法、因果关系的回归方法和模拟方法这三大类。而时间序列的方法,又包括移动平均、加权的移动平均、指数平滑、线性趋势、季节指数、二次移动平均、二次指数平滑,以及复杂的ARlMA模型(Box-Jenkins法)和三次指数平滑法(Holt-Winters)等。 今天,我们先谈谈指数平滑法。其基本预测公式为:Ft+1= αDt + (1 - α)Ft,其中,Ft为期间t的预测,Ft+1为期间t+1的预测,Dt为期间t的实际需求,α为平滑系数,取值为0~1之间。或者,也有人习惯把公式写成:Ft+1 = Ft + α(Dt - Ft)。两个公式可以相互推导出来。第一种写法,可解读为新的期间预测等于,上一个期间的实际需求和预测需求的加权平均,α和1-α分别为权重。而第二种写法,可解读为新的预测等于,上次预测加上一个调整量,而调整量等于上次的误差打了个α折。 在CPSM(美国采购经理职业认证)的教材中,对使用Excel“数据分析”函数包的“指数平滑”方法做过介绍。注意,“数据分析”在Excel中是免费提供的,但不是默认设置。要使用它,请点击“文件”,然后“选项”,选择“加载项”,“分析工具库”,然后点击“转到”并安装。然后,按照上面的指示,使用“数据分析”来工作。 案情是这样的 如下图表格中的数据,B列是某产品的历史销售需求数据,并假设时间荏苒已过去了24个月。我们现处于第24月末,要根据历史数据,使用指数平滑预测法,做出未来的销售需求预测 解答 当然,如果你有瘾,可以按照咱们前面介绍的指数平滑预测公式,一行一行地练手。而如果你习惯使用Excel“数据分析”(见上图右上角菜单的那个按钮),可点击“数据分析”,并在弹出的对话框中输入所需数据,如下图: 其中 1)输入区域:指我们的历史数据,此处选择B3:B26; 2)阻尼系数:Excel的定义是“1-平滑系数”,即如果我们假设平滑系数α为0.2,则在这里要输入0.8; 3)输出区域:指的是你希望Excel按照指数平滑法预测的数据放在表格的位置,此例我们选择H3:H26。 然后,你就可以很爽地按“确定”按钮,预测结果就如上图H3:H26显示出来。注意,第一个预测单元通常会显示“#N/A”。这是因为按照指数平滑方法预测,第一个数据要根据之前的历史和预测数据,而那时,啥都没有,就如同宇宙混沌之初。通常,我们会默认第一个预测值=当期的原始数据。 肯定有同学会问,为毛选α=0.2呢?是的,很明显,对于指数平滑法,平滑系数α的选择极其重要,不同的系数,预测结果当然就不同了。怎么选?怎么选? 一般的老师,没准儿会告诉你,根据自己的感觉吧?或,拍脑门,或去问老大?可老大怎么选择呢?可别说,昨晚有人托梦啊! 如果你读过我们之前的几篇有关规划求解的文章,应该已经习惯了使用Solver的解题套路?说白了,还是要明确三件事儿:目标、变量和约束条件。我们可以把平滑系数设为变量单元,如上图中的F3,让Excel的Solver帮我们选择吧。然后,我们可把区域C3:C26构建预测模型,比如在单元C4中输入:=C3+$F$3*(B3-C3),并把该公式复制到该列后面的所有单元。注意,我们必须保证单元C3默认值为B3(见前述)。目标单元,可以选择计算B列原始需求数据与C列预测数据之间的方差(MSE),并在之后Solver设计时追求最小化。 稍微有点儿遗憾的是,“万能”的Excel居然没有方差的公式!But,它有个SUMXMY2这个函数,正好代表方差公式的分子部分。这个好记呢,XMY2是说X减(M=minus)Y的2次方,然后再求和(SUM)。这样,我们就可以在目标单元F5输入: =SUMXMY2(B4:B26,C4:C26)/COUNT(C4:C26) 而约束条件很简单,就是α≥0,且α≤1。 借助Excel的规划求解(Solver) 据此,我们就可以打开Solver(数据菜单 - 规划求解,英文是Data-Solver),分别设置目标、变量和约束条件,如下图。 最后,屏住呼吸,哆哆嗦嗦地按一下“求解”键,看看结果是否出来了呢?指数平滑预测的最优解,即为图1中的C4:C26单元所示数值。 我们可以顺便做个比较,采用规划求解Solver找到的平滑系数为图1中F3单元所示的0.268,按此预测数据与原始需求数据的拟合,即方差为7.82。而我们之前使用“数据分析”的指数平滑随意输入的阻尼系数0.8(即平滑系数为0.2),所预测的结果H列,与原始数据B列的拟合,方差计算如单元H27所示的7.93,明显不如Solver得出的解最优呢。最后,找到了合理的平滑系数,再预测第25月的需求,就不用我讲了吧? |
![]() |
||
|
2003-2022 北京乐思门咨询有限公司版权所有. 京ICP备05028632号-1 | ||||